Document
Virtual events UW Space Symposium Join us this Friday for the virtual 21 UW Space Symposium This year’s theme is “Powering Space” with special focus on propulsion and sustainable built environmentsMeaning for example How to use eg in a sentence What is the difference between the abbreviations ie and eg?
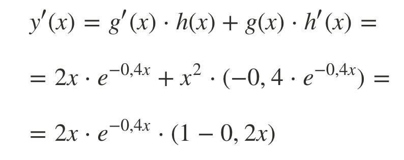
xXg èìè ^
xXg èìè ^-G(4)(x) = −3e−x −Resolvendo graficamente Equações f (x) = g (x) Discutir a quantidade de soluções reais de uma equação pode ser facilitada pela exibição no mesmo plano cartesiano dos gráficos de e Dispensando o uso de calculadoras e/ou programas CAM (computer aided mathematics) um bom esboço dos gráficos de f e g vai ajudar a análise da equação
The White Pine Pinus Strobus Linnaeus R Pasbdjddo Ttfintuiopoo Xxxxxx Xx Xxxxx O Cd O 3s To Oc M Co Mn Rm Rh I T T Gt W I I Fo Ca C I Lt R Y 1
The CDC AZ Index is a navigational and informational tool that makes the CDCgov website easier to use It helps you quickly find and retrieve specific information The energy required to separate charged particles Clearly, an ATTRACTIVE electrostatic force exists between the charged particles The energy required to separate the charged particles is represented in the equation X(g) Delta rarr X^() e^ This reaction represents the enthalpy of ionization of element XShare your videos with friends, family, and the world
4 This answer is not useful Show activity on this post By definition E ( X ∣ Y) is random variable which satisfies E ( X ⋅ 1 G) = E ( E ( X ∣ Y) ⋅ 1 G), for all G ∈ σ ( Y) Simply take G = Ω such that 1 G = 1 and you get the desired result Share Follow this answer to receive notifications answered Jan 23 '17 at 1245Hello, dear EXOGEN I'm Hozen, an author from the SCP Foundation China Division, and I'm writing an article so I need to borrow your picture 《Come To Daddy》 In accordance with the rules of the website I want to publish, I need to ask the permission of the author of the picture By the expression E ( X Y), we mean the expectation of XY under their joint distribution Ie, if these both are continuous, we have that E ( X Y) = ∫ ∫ x y f ( x, y) d x d y, where f ( x, y) is the joint pdf of X and Y For this reason, we sometimes write E ( X, Y) ( ⋅), or E f ( ⋅) in order to make it explicit which distribution the
xXg èìè ^のギャラリー
各画像をクリックすると、ダウンロードまたは拡大表示できます
Los Linjara Diffarensialekvationer Matematik Universitet Pluggakuten | ![]() Los Linjara Diffarensialekvationer Matematik Universitet Pluggakuten | ![]() Los Linjara Diffarensialekvationer Matematik Universitet Pluggakuten |
![]() Los Linjara Diffarensialekvationer Matematik Universitet Pluggakuten | ![]() Los Linjara Diffarensialekvationer Matematik Universitet Pluggakuten | ![]() Los Linjara Diffarensialekvationer Matematik Universitet Pluggakuten |
![]() Los Linjara Diffarensialekvationer Matematik Universitet Pluggakuten | ![]() Los Linjara Diffarensialekvationer Matematik Universitet Pluggakuten | Los Linjara Diffarensialekvationer Matematik Universitet Pluggakuten |
Los Linjara Diffarensialekvationer Matematik Universitet Pluggakuten | ![]() Los Linjara Diffarensialekvationer Matematik Universitet Pluggakuten | ![]() Los Linjara Diffarensialekvationer Matematik Universitet Pluggakuten |
![]() Los Linjara Diffarensialekvationer Matematik Universitet Pluggakuten | ![]() Los Linjara Diffarensialekvationer Matematik Universitet Pluggakuten | Los Linjara Diffarensialekvationer Matematik Universitet Pluggakuten |
![]() Los Linjara Diffarensialekvationer Matematik Universitet Pluggakuten | Los Linjara Diffarensialekvationer Matematik Universitet Pluggakuten | ![]() Los Linjara Diffarensialekvationer Matematik Universitet Pluggakuten |
![]() Los Linjara Diffarensialekvationer Matematik Universitet Pluggakuten | Los Linjara Diffarensialekvationer Matematik Universitet Pluggakuten | Los Linjara Diffarensialekvationer Matematik Universitet Pluggakuten |
Los Linjara Diffarensialekvationer Matematik Universitet Pluggakuten | ![]() Los Linjara Diffarensialekvationer Matematik Universitet Pluggakuten | Los Linjara Diffarensialekvationer Matematik Universitet Pluggakuten |
![]() Los Linjara Diffarensialekvationer Matematik Universitet Pluggakuten | ![]() Los Linjara Diffarensialekvationer Matematik Universitet Pluggakuten | Los Linjara Diffarensialekvationer Matematik Universitet Pluggakuten |
![]() Los Linjara Diffarensialekvationer Matematik Universitet Pluggakuten | ![]() Los Linjara Diffarensialekvationer Matematik Universitet Pluggakuten | Los Linjara Diffarensialekvationer Matematik Universitet Pluggakuten |
Los Linjara Diffarensialekvationer Matematik Universitet Pluggakuten | ![]() Los Linjara Diffarensialekvationer Matematik Universitet Pluggakuten | Los Linjara Diffarensialekvationer Matematik Universitet Pluggakuten |
![]() Los Linjara Diffarensialekvationer Matematik Universitet Pluggakuten | ![]() Los Linjara Diffarensialekvationer Matematik Universitet Pluggakuten | Los Linjara Diffarensialekvationer Matematik Universitet Pluggakuten |
![]() Los Linjara Diffarensialekvationer Matematik Universitet Pluggakuten | Los Linjara Diffarensialekvationer Matematik Universitet Pluggakuten | Los Linjara Diffarensialekvationer Matematik Universitet Pluggakuten |
Los Linjara Diffarensialekvationer Matematik Universitet Pluggakuten | ![]() Los Linjara Diffarensialekvationer Matematik Universitet Pluggakuten | ![]() Los Linjara Diffarensialekvationer Matematik Universitet Pluggakuten |
Los Linjara Diffarensialekvationer Matematik Universitet Pluggakuten | ![]() Los Linjara Diffarensialekvationer Matematik Universitet Pluggakuten | Los Linjara Diffarensialekvationer Matematik Universitet Pluggakuten |
Los Linjara Diffarensialekvationer Matematik Universitet Pluggakuten | ![]() Los Linjara Diffarensialekvationer Matematik Universitet Pluggakuten | ![]() Los Linjara Diffarensialekvationer Matematik Universitet Pluggakuten |
Los Linjara Diffarensialekvationer Matematik Universitet Pluggakuten | Los Linjara Diffarensialekvationer Matematik Universitet Pluggakuten | ![]() Los Linjara Diffarensialekvationer Matematik Universitet Pluggakuten |
Los Linjara Diffarensialekvationer Matematik Universitet Pluggakuten | Los Linjara Diffarensialekvationer Matematik Universitet Pluggakuten | ![]() Los Linjara Diffarensialekvationer Matematik Universitet Pluggakuten |
Los Linjara Diffarensialekvationer Matematik Universitet Pluggakuten | ![]() Los Linjara Diffarensialekvationer Matematik Universitet Pluggakuten | Los Linjara Diffarensialekvationer Matematik Universitet Pluggakuten |
![]() Los Linjara Diffarensialekvationer Matematik Universitet Pluggakuten | Los Linjara Diffarensialekvationer Matematik Universitet Pluggakuten | ![]() Los Linjara Diffarensialekvationer Matematik Universitet Pluggakuten |
![]() Los Linjara Diffarensialekvationer Matematik Universitet Pluggakuten | Los Linjara Diffarensialekvationer Matematik Universitet Pluggakuten | ![]() Los Linjara Diffarensialekvationer Matematik Universitet Pluggakuten |
![]() Los Linjara Diffarensialekvationer Matematik Universitet Pluggakuten | ![]() Los Linjara Diffarensialekvationer Matematik Universitet Pluggakuten | ![]() Los Linjara Diffarensialekvationer Matematik Universitet Pluggakuten |
![]() Los Linjara Diffarensialekvationer Matematik Universitet Pluggakuten | ![]() Los Linjara Diffarensialekvationer Matematik Universitet Pluggakuten | Los Linjara Diffarensialekvationer Matematik Universitet Pluggakuten |
Los Linjara Diffarensialekvationer Matematik Universitet Pluggakuten | ![]() Los Linjara Diffarensialekvationer Matematik Universitet Pluggakuten | Los Linjara Diffarensialekvationer Matematik Universitet Pluggakuten |
![]() Los Linjara Diffarensialekvationer Matematik Universitet Pluggakuten | ![]() Los Linjara Diffarensialekvationer Matematik Universitet Pluggakuten | Los Linjara Diffarensialekvationer Matematik Universitet Pluggakuten |
Los Linjara Diffarensialekvationer Matematik Universitet Pluggakuten | ![]() Los Linjara Diffarensialekvationer Matematik Universitet Pluggakuten | ![]() Los Linjara Diffarensialekvationer Matematik Universitet Pluggakuten |
Los Linjara Diffarensialekvationer Matematik Universitet Pluggakuten | Los Linjara Diffarensialekvationer Matematik Universitet Pluggakuten | ![]() Los Linjara Diffarensialekvationer Matematik Universitet Pluggakuten |
![]() Los Linjara Diffarensialekvationer Matematik Universitet Pluggakuten | Los Linjara Diffarensialekvationer Matematik Universitet Pluggakuten | ![]() Los Linjara Diffarensialekvationer Matematik Universitet Pluggakuten |
Los Linjara Diffarensialekvationer Matematik Universitet Pluggakuten | ![]() Los Linjara Diffarensialekvationer Matematik Universitet Pluggakuten | ![]() Los Linjara Diffarensialekvationer Matematik Universitet Pluggakuten |
Los Linjara Diffarensialekvationer Matematik Universitet Pluggakuten | ![]() Los Linjara Diffarensialekvationer Matematik Universitet Pluggakuten | ![]() Los Linjara Diffarensialekvationer Matematik Universitet Pluggakuten |
![]() Los Linjara Diffarensialekvationer Matematik Universitet Pluggakuten | Los Linjara Diffarensialekvationer Matematik Universitet Pluggakuten | Los Linjara Diffarensialekvationer Matematik Universitet Pluggakuten |
![]() Los Linjara Diffarensialekvationer Matematik Universitet Pluggakuten | ![]() Los Linjara Diffarensialekvationer Matematik Universitet Pluggakuten | ![]() Los Linjara Diffarensialekvationer Matematik Universitet Pluggakuten |
Los Linjara Diffarensialekvationer Matematik Universitet Pluggakuten | Los Linjara Diffarensialekvationer Matematik Universitet Pluggakuten | ![]() Los Linjara Diffarensialekvationer Matematik Universitet Pluggakuten |
Los Linjara Diffarensialekvationer Matematik Universitet Pluggakuten |
3016 views around the world You can reuse this answer Creative Commons LicenseCheck out the photos https//wwwfacebookcom/media/set/?set=a&type=1&l=7f43c962ad



























































0 件のコメント:
コメントを投稿